info@swachhfacility.in
Call Us: + 91 992 77 44 666
Request A Quote
Menu
Home
About
Clients
Services
Machines
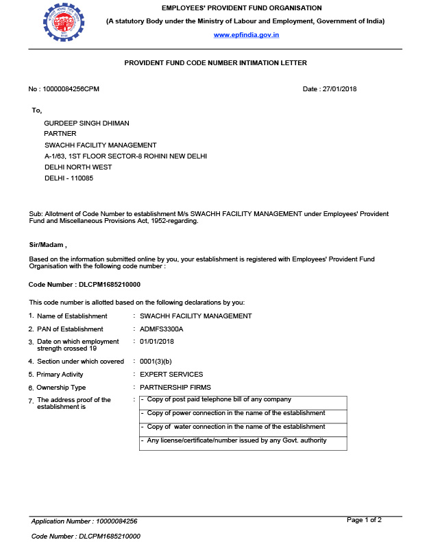
Certificates
Contact
Certificates